top of page
This site was designed with the
.com
website builder. Create your website today.
Start Now
Marketing, Management, and Economics
by George Fane
Home
Articles
More
Use tab to navigate through the menu items.
Log In
Some articles have embedded programs that I made using online compilers.
Please click the green "Run" button; if the program refuses to connect, click on the provided link to view the code.
All Posts
Public Policy
Higher Education
Finance
Modeling
Spreadsheets
Programming
Number Theory
Other Math
Search
Log in / Sign up
George Fane
Aug 25, 2019
2 min read
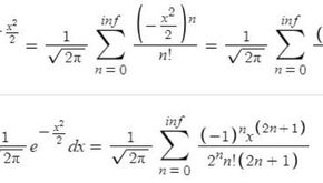
Cumulative Distribution Function
George Fane
Aug 19, 2019
4 min read
Bond Valuation
George Fane
Aug 12, 2019
3 min read
Relearning C++
bottom of page